sitelen lili
2020. 04. 18. 19:30 | \blog \toki pona
So I made a vid about sitelen lili (or attempted to, depending on whether the recording's usable)
Hi!
I've recently made a video about sitelen lili, my "newest" and "greatest" (n+1)th (where n is an integer greater than many) writing system for toki pona and before I begin to get that video made I wanted to give some more examples and also to give a proper explonations on how it works and such.
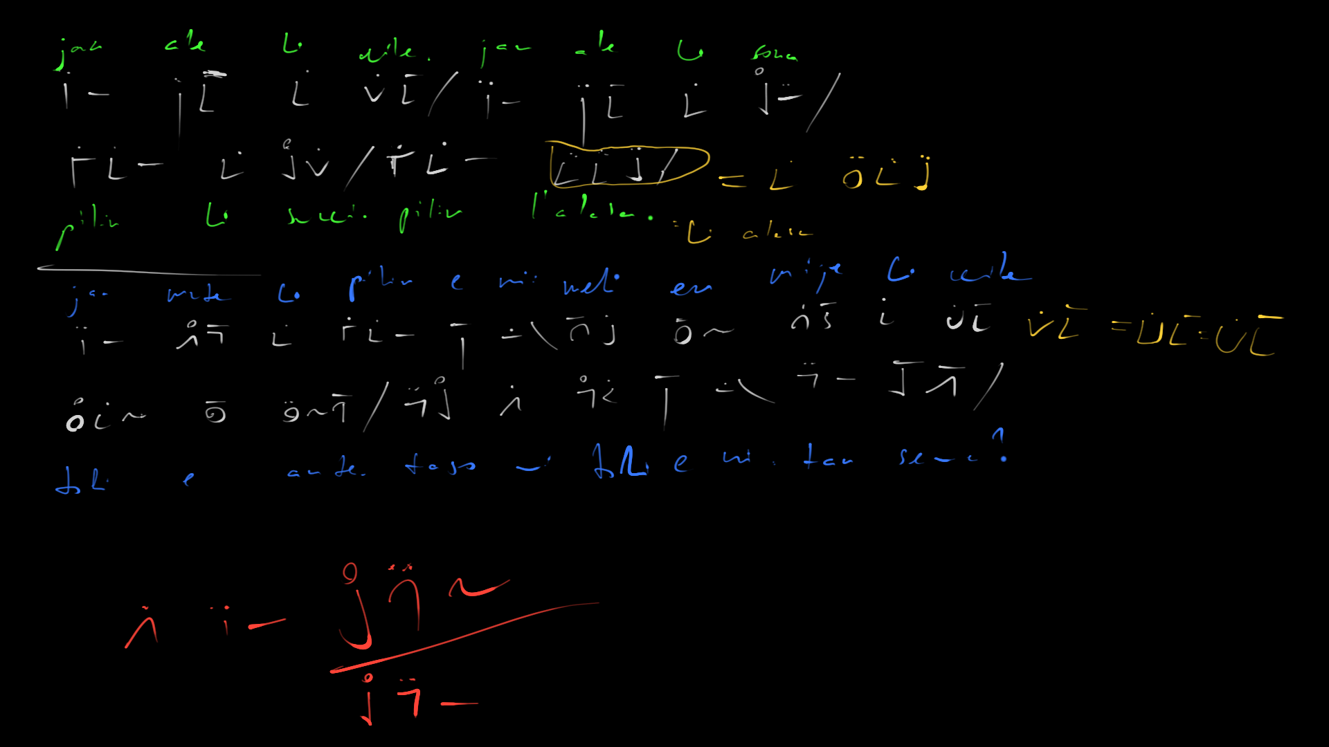
So here's the alphabet:
The general idea is that you have a syllabic system, first read the consonant, then the vowel and you're done.
If there are no consonant before a vowel (e.g. at the beginning of words), you'll use a zero consonant, and if there are no vowels after a consonant, then you write no vowels. It's that simple.
Where it might become harder is that there are 2 styles of writing: linja and sike. These are interchangeable and you can use whichever style you prefer. The idea is to write everything using one (e.g. linja) style and write emphasized or foreign (not toki pona native) words in the other. Here's a quick example for these (WARNING: quickly and badly drawn example!)
Or you can alter the styles word by word when you have limited-enough space.
Basically that's all. As you can see in the 2nd sentence of the 2nd example, that sentence is in the sike style, because it's a quotation of some sort, similarily to the red text, where the "Sotan" part of "mi jan Sotan" is in sike.
The punctiaton is simple, you have your 2 main marks (the full stop and colon) and an additional mark for semi-colon, that wouldn't be a semicolon in latin script; that is meant to mark the end of paragraphs or other, longer body of texts. It's a non-standard symbol for a very special purpose: it makes you able to write paragraphs in a continuous text, for the case that you don't have enought space to leave empty spaces or you don't want others to see the layout of your text.
And finally another handwritten alphabet from the might-never-be-released video:
< RSS hook test and struggles with video | sitelen pali >



